
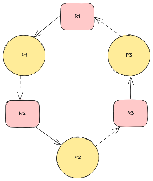
Interviewer: What are deadlocks? How will you detect and avoid them?
In the digital world, where traffic over the services is very high, engineers often face problems with handling concurrency in a system. Deadlock plays an important role in the discussions whenever devs talk about concurrency issues.
