
BEGIN;COMMIT;UNDO LOGREDO LOGBUFFER POOLSELECT *INDEXTRANSACTIONROLLBACK;MVCC</>#include.cpp.md.ai{ }async/await→λNULL&&||===git pushdockerkubernetesAPIRESTGraphQLreturn;

Software Engineer crafting scalable systems
Welcome to my blogs!
![5 Years as a Software Engineer: What Actually Evolved]()
![How I Turned Google Sheets Into Interactive Dashboards]()
How I Turned Google Sheets Into Interactive Dashboards
![A Habit That Gave Me Clarity]()
A Habit That Gave Me Clarity
![The Day I Realised Google Sheets Can Be Smarter]()
The Day I Realised Google Sheets Can Be Smarter
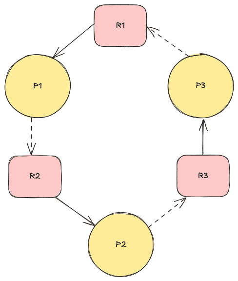
![Interviewer: What are deadlocks? How will you detect and avoid them?]()
Interviewer: What are deadlocks? How will you detect and avoid them?
![MySQL transaction: From Begin to Commit]()
MySQL transaction: From Begin to Commit




